Tych leków może zabraknąć w aptekach. Na liście jest ponad 250 pozycji [SZCZEGÓŁY]

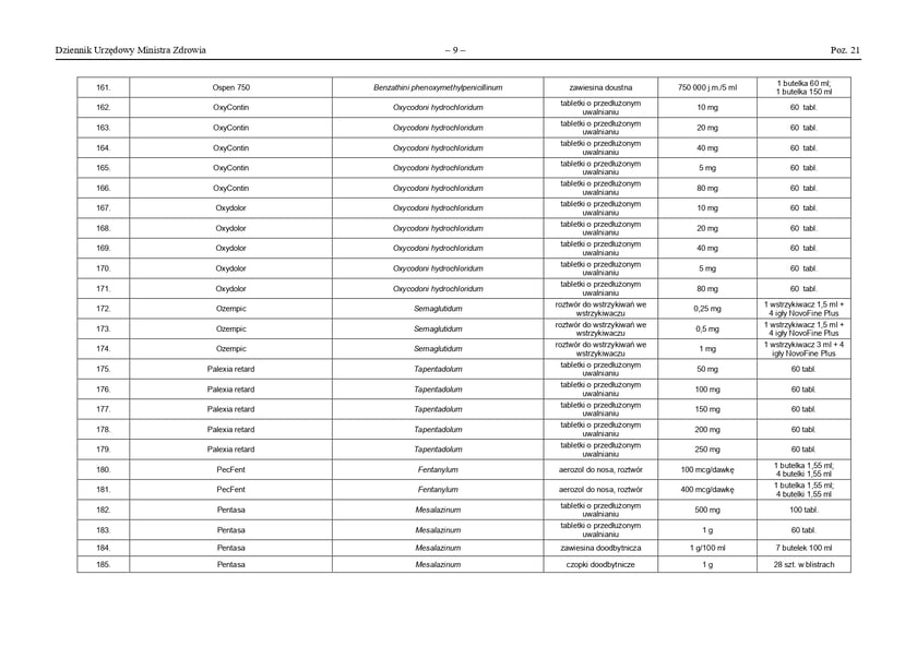
Obwieszczenie Ministra Zdrowia (z dnia 13 marca 2023 r.) w sprawie wykazu produktów leczniczych, środków spożywczych specjalnego przeznaczenia żywieniowego oraz wyrobów medycznych zagrożonych brakiem dostępności na terytorium Rzeczypospolitej Polskiej.

Reklama